首页
产品中心
解决方案
新闻资讯
关于我们
联系我们
全站
文章详情
【行业应用】基于激光位移传感器的蜗轮蜗杆精密测量
2024-11-29
摘要:
分析现有的蜗轮蜗杆测量技术特点的基础上,提出一种基于激光位移传感器的蜗轮蜗杆非接触式测量方法与对应的齿廓形状、齿距偏差算法。构建蜗轮蜗杆综合测量装置,实现非接触 式数据的采集,通过建立蜗轮蜗杆的理想齿廓模型与采集点拟合的平滑曲线相对比分析,得到齿廓 形状和齿距偏差。该方法可以有效简化蜗轮蜗杆的测量过程并提高测量精度和效率。
关键词:
蜗杆蜗轮测量 激光位移传感器 偏差分析 非接触测量
0 引言
蜗轮、蜗杆作为蜗杆传动的重要零件,根据应用场合的不同,对其各项参数以及精度等级的要求也不一样。为了保证蜗杆传动在各自应用场合的传动准确度、工作平稳性、可靠性,必须对蜗轮、蜗杆的零件几何精度进行检测。对于用作回转中心分度的蜗杆传动机构,为保证分度运动的准确性,需要严格控制蜗轮的齿距累积误差;为保证蜗杆传动的平稳性,需要严格控制蜗杆的轴向齿距累积误差及蜗轮的齿距极限偏差;为保证蜗杆与蜗轮啮合运动的可靠性,需要严格保证啮合方向上的齿廓和齿面精度。
目前,接触式CNC坐标测量以及蜗轮的综合误差检测是应用最为广泛的蜗轮、蜗杆检测手段。但是,这种测量方法在测量前必须根据被测零件的齿廓形状规划对应的测头运动路径,使用的测量仪器与方法操作复杂、通用性较低、测量时间较长。本文利用激光位移传感器采集被测蜗杆的轴向齿廓点与蜗轮的特定端截面齿廓点相对各自齿廓分度位置的位移量来构建测量齿廓模型,从而分析计算出蜗轮的齿廓形状偏差、齿距偏差以及蜗杆的齿廓形状偏差、轴向齿距偏差。采用非接触式测量法可以避免针对不同蜗轮蜗杆的路径规划,测头与测量面不直接接触,无需测头半径补偿,简化测量的前置步 骤,从而可以有效提高测量精度和效率。
1 蜗轮蜗杆激光测量装置的设计
1.1 测量装置整体结构设计
为了实现蜗轮、蜗杆的非接触式测量,所设计的测量装置能实现的测量运动包括1个坐标轴的回转运动和3个坐标轴的直线运动。测量装置结构如图1所示,属于一种立式结构, 其主要由x、y、z三个轴向的直线滑动导轨、c轴向的测量回转台以及空间姿态可任意调整的激光位移传感器系统组成。其中,x、y、z三向滑轨互相垂直布置,x向滑轨的基座与测量装置工作台相固联,y向滑轨的基座与x向滑轨的滑台相固联,Z向滑轨的基座与y向滑轨的滑台相固联,激光位移传感器系统的支架底座与z向滑轨的滑台相固联。c轴为沿测量装置回转台中心轴线的回转运动轴。每个移动和转 动方向上都配有高精度的光栅,通过对多轴控制卡进行编程,实现各个方向的运动控制。
1.2 蜗轮蜗杆非接触式激光测量方法
该测量装置的工作原理基于坐标值的测量,在伺服系统的驱动之下,带动载有激光位移传感器的运动机构,完成对蜗轮蜗杆齿廓的数据采集。根据被测量点与激光位移传感器之间的相对距离以及测头与机床坐标系的关系,计算出蜗轮蜗杆齿廓的坐标数据,经过计算机分析计算,从而得到蜗轮的齿廓形状偏差、齿距偏差以及蜗杆的齿廓形状偏差、 轴向齿距偏差。
蜗杆非接触式测量原理图如图2所示,将传感器移到蜗杆分度圆半径位置,控制z轴导轨的滑台运动,使测量光斑点投射于蜗杆被测轴截面齿廓的某个齿顶位置作为测量起始位置,并执行测量坐标系标定命令。z轴导轨按0.16 mm/s匀速上升,系统提 示记录传感器采集的数据与z轴光栅反馈的位置数据,共测量3个完整的轮齿。
蜗轮非接触式测量原理图如图3所示,将传感器移到蜗轮中间端截面附近,使其光斑点与中间端截 面重合,调整传感器姿态,使其竖直并保证全齿高 在量程内;打开测量系统,使回转台按0.64(°)/s的速度匀速旋转1周,系统自动记录相关数据并进行误 差分析。
2 蜗轮蜗杆理想模型的建立
为了实现对蜗轮、蜗杆的精密测量与误差分析, 必须根据蜗轮、蜗杆的齿面形成原理建立对应的齿面方程,课题组在查阅相关文献的基础上,根据 立体几何与坐标变换的相关知识,详细研究了轮齿 曲面的形成原理,建立了蜗轮、蜗杆的齿廓理想 模型。
2.1 ZI蜗杆的齿面和齿廓方程
2.1.1 zI蜗杆的齿面方程
根据zI蜗杆的齿面成形原理可知,zI蜗杆的齿 面成形线与基圆柱相切,并与端平面成Y
b
角。图4表示右旋zI蜗杆左齿面的成形过程,设齿面成形线 与基圆柱的切点的初始位置N
0
在X
1
轴上,当成形线绕Z
1
轴作螺旋运动转过α角时,切点由
N
0
运动到
N
, 且
NN
1
=P
α
。在成形线上任取一动点K,根据图4中的几何关系可求出K点的x
1
y
1
z
1
,坐标。因此,ZI 蜗杆的齿面方程可以表示为
式中,R为齿面动点K的向径;θ为动参数角;P为蜗杆的螺旋参数;y
b
和y
b1
分别为蜗杆基圆柱的导程角及基圆柱半径。式中的“-”符号表示左齿面, “+”符号表示右齿面。螺旋参数P的符号取反可得到左旋ZI蜗杆的齿面方程。
2.1.2 zI蜗杆的齿廓方程
由zI蜗杆齿面成形线与基圆柱相切的特性可知, ZI蜗杆在基圆柱切平面内的齿廓为一段与端面夹角为yb的直线。如图5,对右旋ZI蜗杆,在y1=rb1的切平面上左侧齿廓为直线,在y1=-rb1的切平面上右侧齿廓为直线,左旋蜗杆则反之。
令齿面方程(1)中的y
1
=0,且可得到右旋zI蜗杆的轴向齿廓方程为
式中,参数含义及符号规定同式(1)。
2.2 蜗轮的一般齿面方程
根据蜗杆的齿面方程可知,ZN、ZA、ZI蜗杆都 有一个平行于轴线的截面,在该截面上的齿廓为直 线,而且,在该截面上的蜗杆齿廓与蜗轮齿廓之间的啮合传动可以看作是齿轮齿条传动。因此,与其啮合传动的蜗轮在对应的端截面上存在与蜗杆直线 齿廓共轭的渐开线齿廓。对于蜗轮齿廓及齿距的误差分析,在齿廓为渐开线的端截面上测量数据,可以简化后续的误差分析计算过程。为了实现蜗轮端截面齿廓测量数据的误差分析计算,需要建立 如图6所示的渐开线理想齿廓。
在图6的坐标系xOy中,渐开线齿廓方程为
式
中,θ为渐开线展角参数;αk为压力角;
θk
为向角;rb2为蜗轮渐开线齿廓的基圆半径。在齿根展角
θf2
至齿顶展角的范围内,给定等间隔的展角0就 可以求出渐开线上所有对应齿廓点的坐标。其中,
,式中,r2为蜗轮分度圆半径;m为模数;h*
a2
为蜗轮齿顶高系数;r
b2
为蜗轮渐开线齿廓的基圆半径。
3 蜗轮蜗杆偏差分析方法
3.1 安装偏心的数学补偿
被测蜗轮蜗杆通过三爪卡盘安装在回转台上时, 不可避免地存在安装偏心的情况,造成测量结果存在误差。因此,为了减少偏心距带来的误差,需要对测量数据进行偏心距补偿。根据激光位移传感器的测量原理,安装偏心距可以很方便地测量出来并进行补偿。激光位移传感器示值D,标准量程L和被测点与传感器激光发射点距离S之间的关系为
当半径为r的圆围绕回转中心进行偏心旋转时, 圆周上的点到回转中心距离的最大值为r+△L,最小值为r-△L,因此,容易推算出进行1周数据采集 后,△L=(Dmax-Dmin)/2。得到安装偏心距后,就可以对测量数据进行偏心距的补偿。如图7,当回转台旋转β角度后,测量采集点的理论位置为A点,而因为偏心距的存在导致实际测量点为B点。理论测量点所在的圆半径为R
Da
,R
D
为传感器示值的函数。根据平面几何关系以及△BB’O可以得到以下方程
由于R
(Da)
=R
(Db-△D),△
D的值正是需要求出的。因此,在此需要进行嵌套求解法,使用
R
(Db)
代人式 (5)进行第一次求解得到△D,将根据△D计算得到的 D
A
再次代人式(5)重新计算△D,如此反复。当△D值趋于稳定时,即可认为得到的D
A
为经过偏心距补偿后的激光位移传感器示值。
3.2 蜗杆的偏差分析方法
激光位移传感器测量获得的每个数据对应1个光栅位置,为排除激光射线照射在zI蜗杆的齿底平滑过渡齿廓而产生的散射干扰以及齿顶圆角非标准化等问题对误差分析结果造成的负面影响。选取的误差分析区间是分度圆柱以外0.7个模数到分度圆以内1个模数的径向高度范围,如图8所示。
将经过坐标变换及数据筛选的被测蜗杆某一侧轴向齿廓的k个采集点Pi依据3次最小二乘原理,拟合出一段平滑曲线来逼近实际齿廓。设所拟合的 平滑曲线为3次多项式,则总计k个采样点到该曲线的偏差平方和∑δi2可以表示为
将上式右边对a
i
求导,通过化简可得如下矩阵形式的方程组。
将式(6)进行矩阵的范德蒙化简后可以求出系数 矩阵A=[a0,a1,a2,a3],此时我们就得到了拟合曲线的方程表达式。
将所拟合的3次平滑曲线x=f(z)与zI蜗杆轴向齿廓方程(2)在分析计算坐标系xOz中建立理想轴向齿廓曲线,作为齿廓偏差分析的理想参照对象。
3.2.1 蜗杆齿廓偏差计算
将齿廓方程(2)对z求导,可推导出蜗杆左右两侧齿廓的切线斜率后k'为
式中,左侧“+”号表示左齿廓,“-”号表示右齿廓。
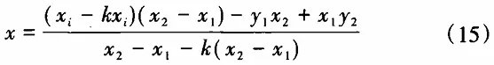
将筛选的数据x坐标等间隔的每个理想齿廓点 Hi(zi,xi)处的齿廓法线依次和与该法线距离最近的两个齿廓采样数据点构成的微小直线段求交,得交 点Gi(z,x)。
式中,z1和z2为微小直线段两端的齿廓采样数据点横坐标;k为法线斜率(k=-1/k')。根据蜗杆齿廓偏差的定义,可将该交点Gi与对应理想齿廓点的距离作为该交点处的齿廓形状偏差f
fα1
i,即
式中,当交点Gi的坐标高于理想齿廓时,
f
fα1
i
符号为正,反之为负。若单侧齿廓的交点Gi总数为k,测量齿数为n,当前分析的是第j个齿廓,则第j个齿廓的齿廓形状偏差可表示为
最后,得到蜗杆的齿廓形状偏差为
3.2.2 蜗杆的轴向齿距偏差
按照齿廓偏差分析时所述的3次最小二乘法,将实际齿廓的测量数据点拟合曲线,计算该曲线与蜗 杆轴截面分度线的交点坐标C
i
(z
i
,x
i
)。依次计算相 邻同侧齿廓上C
i
点的z坐标间隔长度作为实际齿距P
x
并与公称齿距P
x0
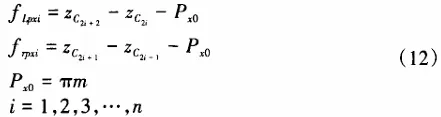
作对比,两者的差值即为蜗杆的 轴向齿距偏差,其偏差计算过程为
式中,△f
Lpxi
、f
Rpxi
分别为被测蜗杆的轴向左右齿距偏差;m为被测蜗杆的模数;n为测量的完整齿廓数
3.3 蜗轮的偏差分析方法
测量蜗轮时,激光位移传感器采集蜗轮给定端截面的齿廓数据,依据采样点Ni(Hi,θi)各自对应的角度够位置,将测量采样点的数据按方程(13)转 化为直角坐标系xOy中的蜗轮端截面圆周齿廓点 Pi(xi,yi)。
式中,r2为被测蜗轮的分度圆半径;m为模数;z2为蜗轮齿数;Hi为采样点位置的传感器示数;
θi
为采样点位置的C轴角度坐标。
为了排除渐开线齿廓的基圆大于齿根圆引起的 齿底部分非标准齿形以及齿顶圆角对测量分析结果的负面影响,选取分度圆以外0.7个模数到分度圆以
内1个模数的径向高度范围。蜗轮的齿廓偏差是指在 轮齿给定截面的计算范围内,包容实际齿廓迹线的 两条设计齿廓迹线的距离。所谓的给定截面是指蜗轮齿廓为渐开线的端截面,即ZA蜗杆配对蜗轮的中间端截面。
3.3.1 齿廓形状偏差的计算
首先,根据测量数据绘制测量齿廓,再通过坐标变换将它与理想齿廓重合,将理想齿廓法向上两者间的距离作为判断蜗轮齿廓形状偏差的标准。
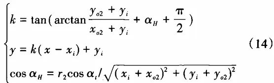
如图9所示,理想齿廓上任意一点H处的法线lH与该点向径ObH之间的夹角为π/2+αH,又由渐开线上任一点的法线与基圆相切的性质,可得经过位置变换后的渐开线齿廓任一点Hi(xi,yi)处的法线方程为
式中,α1为蜗轮被测端截面齿廓在分度圆处的压力角;r2为被测蜗轮的分度圆半径;(xo2,yo2)为位置变 换前的理想齿廓与分度圆的交点坐标。
因此,与蜗杆齿廓偏差计算方法类似,将等展角间隔的每一个理想齿廓点
Hi(xi,yi)
处的齿廓法线依次和与之距离最近的两个齿廓采样数据点所构成的微小直线段求交,所求交点Gi(x,y)与对应理想齿廓点的距离即为该交点处的齿廓偏差△f
f2i
。交点Gi坐标的计算过程为
式中,x1、x2为微小直线段两端的齿廓采样数据点横坐标;k为法线斜率,可按式(14)计算。
根据蜗轮齿廓偏差的定义,交点Gi处的齿廓偏 差为
若单侧齿廓的交点Gi总数为k,蜗轮齿数为z2当前分析的是第j个齿廓,则第j个齿廓的齿廓形状偏差可表示为
最后,得到蜗轮齿廓形状偏差为
3.3.2 蜗轮的齿距偏差
蜗轮的齿距偏差是指在被测端截面齿廓分度圆位置的实际齿距与公称齿距之差。如图10所示,按照前述的3次最小二乘拟合法,求出中间端截面内 所有同侧测量齿廓拟合线在分度圆位置的O1点坐标 O1i(xo1i,yo1i),将相邻01点之间的弧长作为测量齿廓的齿距并与标准齿距进行对比,即可得到蜗轮的齿距偏差。
由于O1i-1O1i点之间的弧长可以表示为
式中,r2为被测蜗轮的分度圆半径。
又因为蜗轮的标准齿距可表示为P0=πm。
由此可得蜗轮在Oi-1Oi处的齿距偏差为
4 蜗轮蜗杆测量实验
4.1 蜗杆测量
实验中,对用于车辆机械式EPS系统传动的zI蜗杆进行测量,被测zI蜗杆参数:IT6级精度,右 旋,模数2,头数2,法向压力角20°,分度圆直径11 mm,测量3个完整齿廓,如图11所示。
通过图12所示的计算机误差分析模块,得到蜗杆的单个轴向齿距偏差、轴向齿距偏差和齿廓形状总偏差。
单个轴向齿距偏差为
max△fpx=0.0027 mm,min△fpx=-0.0065 mm
轴向齿距偏差为
fpx=-0.0067 mm
齿廓形状总偏差为
Ffα1=0.0155 mm
根据GB/T 10089--2018可知,该zI蜗杆精度为IT6,误差分析结果与其制造精度相符合。
4.2 蜗轮测量
对与ZA蜗杆配对的蜗轮进行测量,被测蜗轮参数:IT9级精度,模数2.5,齿数25,中间端面分度 圆位置压力角20°,如图13所示。同样,通过计算机误差分析模块,可得到蜗轮的单个齿距偏差、齿距累计总偏差和齿廓形状总偏差,如表1所示。
单个齿距偏差为
齿距累计总偏差为
齿廓形状总偏差为
根据GB/T 10089—2018可知,该蜗轮精度为 IT9,误差分析结果与其制造精度相符合。
5 结语
提出了基于激光位移传感器的蜗轮蜗杆非接触式测量方法,构建了蜗轮蜗杆测量装置,可以实现蜗轮蜗杆的自动测量。提出理想齿廓与采集数据拟合得到的平滑曲线对比的误差分析方法,可以精确、高效地分析出蜗轮蜗杆的齿廓形状偏差和轴向齿距 偏差。利用这种测量方法完成1个蜗杆的测量所用时间是CNC坐标测量所用时间的1/3左右,大大提高了蜗轮蜗杆的测量效率。同时,该方法与装置也可以用于其它圆柱蜗杆和复杂螺旋曲面零件的测量。
本文章作者:訾豪 彭云 储月刚 沈宇涵 宋爱平(扬州大学机械工程学院)
微信扫一扫
关注该公众
阅读435
分享
发表评论
提交